鉅大鋰電 | 點擊量:0次 | 2019年06月05日
分析針刺實驗時鋰離子電池內部結構變化
鋰離子電池憑著高能量密度和優異的循環性能等優勢,在3C產品、儲能和動力電池等方面取得了巨大的成功,但是高能量密度也帶來了更大的安全隱患,特別是當發生內短路時,短時間內鋰離子電池局部產生大量的熱量,引起電解液、活性物質分解,產生更多的熱量,非常容易引發熱失控,從而產生嚴重的安全問題。針刺實驗是目前模擬鋰離子電池內短路最常用的一種手段,通過將鋼針插入到鋰離子電池內部,引起正負極之間的短路,在局部產生大量的熱量,從而實現對鋰離子電池內短路的模擬。
由于鋰離子電池的密封結構設計,使得我們難以直接對鋰離子電池針刺過程進行觀測,目前多數的研究成果是通過監測鋰離子在針刺過程中電壓、外表溫度等信息獲得,缺少直接的針刺過程中電池內部結構變化數據。近日,日本早稻田大學的TokihikoYokoshima(第一作者,通訊作者)和TetsuyaOsaka(通訊作者)通過高速X射線拍照的方式對鋰離子電池在針刺過程中電池內部結構的變化進行了分析。
實驗中的電池正極材料為LCO,負極材料為石墨,電解液的溶劑為1:1的碳酸乙烯酯和碳酸二乙酯的混合物,溶劑鹽為1mol/L的LiPF6,電池采用的隔膜來自宇部興產的UP3085,為了滿足X射線穿透的需求,TokihikoYokoshima對電極結構也進行了特殊設計,正極尺寸為64mm×6mm,負極尺寸為74mm×10mm,電池包含3層負極,4層正極,電池的容量為20mAh,同時為了模擬大容量電池,作者還制作了一個800mAh的軟包電池,通過將一個20mAh的電池與之并聯形成一個820mAh的電池(如下圖所示)。

針刺實驗中采用的鋼針為不銹鋼材質,直徑1mm,錐角為30度,穿刺速度為10mm/s,下圖為820mAh電池在針刺過程中的溫度和電壓的變化曲線,從下圖a能夠看到隨著針刺的開始,電池的電壓迅速從4.2V下降到2.0V,同時電池的溫度從3s開始快速升高,最終電池發生熱失控,并伴隨著大量的煙霧的產生。值得注意的是將20mAh電池和800mAh電池并聯起來的Ni極耳在針刺開始1s后就已經被加熱到紅色,隨后開始泄漏氣體。電池針刺后25s左右電壓基本停止下降,表明此時電池的電量基本上完全放光。

下圖為通過X射線成像技術記錄的在針刺過程中電池電極的變化(500幀/秒),從下圖能夠看到在鋼針接觸到2、4、6層電極(均為負極)時電池的電壓都出現了明顯的降低,總體來看隨著鋼針穿刺的電極層的層數增加,電池的電壓也會持續降低,這主要是因為隨著穿刺深度的增加,短路電阻也在持續降低,從而導致電池的電壓快速下降。同時我們也能夠注意到針刺過程中氣體產生是從大約2秒之后開始的,這主要是因為氣體產生主要是由于短路產生的焦耳熱,需要一定時間的積累。

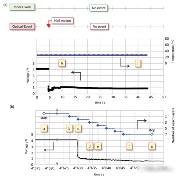
下圖為20mAh電池在短路過程中溫度和電壓變化,從下圖a可以看到在針刺開始后電池的電壓從4.2V快速下降到0.6V,隨后電壓出現緩慢的升高,在第7s時電池的電壓恢復到1V,然后經過一個輕微的下降后穩定下來。但是電池的溫度在整個過程中并未見到明顯的提升,同時電池也沒有產氣,電池也沒有發生熱失控,這主要是因為電池的容量較低,因此內短路過程中產生的焦耳熱不足以引發連續的自發放熱反應。

下圖為采用X射線成像技術拍攝的20mAh電池在針刺過程中電池內部結構的變化(1000幀/秒),能夠看到與820mAh電池類似,當鋼針接觸到第2層(負極)時(第2秒)電池電壓開始出現突降,隨著鋼針穿透層數的增加電壓持續降低。

下圖為820mAh電池在針刺實驗前后的CT照片,從圖中能夠看到電池的正極在針刺后已經發生了破壞,正極活性物質從Al箔上發生了剝離。

下圖為20mAh電池在針刺前后的CT圖片,從圖中能夠看到經過針刺后電極結構基本上沒有發生明顯的改變,這也表明820mAh電池在針刺后的電極結構破壞并非由于針刺過程引起的,而是因為針刺導致的短路產生的高溫引起電解液的快速沸騰,從而導致了活性物質從箔材表面剝離。此外,我們對比每一層電極針刺孔直徑的大小(如下表所示)可以發現并是不每一層電極的針刺孔都是相同的,第2層電極的針刺孔最大,表明在此處短路產生的熱量最多。


TokihikoYokoshima的工作讓我們通過更為直接的方法觀測到了鋰離子電池在針刺過程中內部結構的變化,通過高速X射線成像技術我們成功的觀測到了短路的發生和氣體產生兩個過程,通過解剖發現鋰離子電池不同層之間的短路現象并不相同,特別是第1層和第2層之間短路電流非常大,因此第二層電極的破壞也更為嚴重。
上一篇:閉環電池回收系統的研發
下一篇:京津冀動力蓄電池回收利用項目提速










