鉅大鋰電 | 點擊量:0次 | 2019年06月05日
添加硅烷-Al2O3是否能提高電池安全性
隨著新能源汽車補貼的退坡,國內電池企業對動力電池高能量密度的瘋勁似乎有所減緩。早被打入冷宮、不受待見的電池安全工程師又重新得到的皇上的召見,此刻正跪在殿外侯旨,而殿內正極、負極、電解液、隔膜、工藝、生產制造五位資深閣老正和皇上相談甚歡,笑聲飄的很遠、很遠。“正極、負極、隔膜生產制造四位閣老世受皇恩,同皇族利益深度綁定,在朝中驕橫跋扈多年,從這四位入手改善電池安全自然是難度極大的。電解液和工藝二位閣老雖然位高權重,但性格相對溫和,平時還可以同他們交流幾句,改善電池安全只能暫時從這兩位身上想辦法了。具體該怎么實施呢?”跪在殿外的電池安全工程師正眉頭緊鎖進行深思,腦海中推演各種可能的方案。在兼顧電池電化學性能的條件下改善電池安全是件不容易的事。鋰離子電池易燃易爆的原因之一在于其使用了大量的易燃電解液。在追求電池能量密度的背景下,改變正極、負極和隔膜空間很小,存在較大改變可能的只屬電解液了。雖然失敗的例子數不勝數,但創新性的想法和實踐還是必須的。
最近,中科院寧波材料所劉兆平研究員課題組的研究顯示在常規電解液中添加硅烷-Al2O3不僅可以提升電池的循環、倍率等電化學性能,還能有效改善電池的安全性,成果已Hybridelectrolytesincorporatedwithdandelion-likesilane-Al2O3nanoparticlesforhigh-safetyhigh-voltagelithiumionbatteries為題發表在JournalofPowerSources上。

圖1.常規電解液、5%硅烷-Al2O3混合電解液(SSE-5)和10%硅烷-Al2O3混合電解液(SSE-10)性能對比。
混合電解液的制備方法很簡單,向常規電解液中直接混入一定濃度的硅烷-Al2O3即可。硅烷-Al2O3是商業化的產品,可以直接購買到,表面的烷基化處理可以提高Al2O3在電解液中的分散度。如圖1a所示,當硅烷-Al2O3添加量為5%時混合電解液呈漿料裝,添加量為10%時電解液呈半固態狀。電解液的離子電導率和鋰離子的離子遷移數是電解液的兩項重要指標。如圖1c所示,得益于Al2O3是路易斯酸有助于LiPF6解離,混合電解液的鋰離子遷移數是常規電解液的兩倍多。如圖1d所示,三種電解液的離子電導率均隨溫度上升而增加,SSE-5的離子電導率同常規電解液幾乎相同,SSE-10略有降低。

圖2.常規電解液、SSE-5和SSE-10三種電解液的自熄滅值對比。
前文提到過,電解液中添加硅烷-Al2O3的主要目的是提升電池的安全性。在確認三種電解液的電化學穩定性后,作者對電解液的自熄滅值進行了對比研究。如圖2所示,常規電解液、SSE-5和SSE-10的自熄滅值分別為84.12s/g、26.94s/g和17.36s/g,意味著SSE-5和SSE-10兩種混合電解液的可燃性較常規電解液分別降低了68%和79%,可被認為是阻燃電解液。對于SSE-5和SSE-10具有阻燃效果的原因,作者認為是Al2O3表面的烷基熱分解產生的SiO2起到了隔熱的效果,通過本身具有高度熱穩定性的Al2O3對隔熱也有貢獻。

圖3.LiNi0.5Mn1.5O4/Li扣電分別使用常規電解液、SSE-5和SSE-10的循環性能對比。

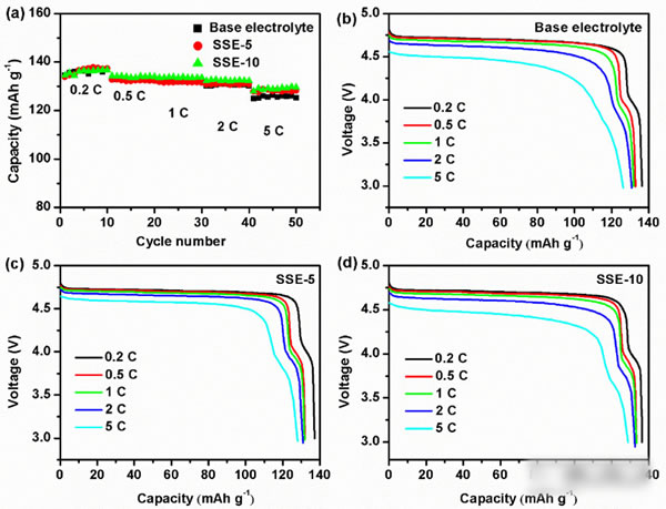
圖4.LiNi0.5Mn1.5O4/Li扣電分別使用常規電解液、SSE-5和SSE-10的倍率性能對比。
LiNi0.5Mn1.5O4/Li扣電分別使用常規電解液、SSE-5和SSE-10在3-5V區間的放電克容量分別為126.7mAh/g,126.9mAh/g和127.4mAh/g,循環200周容量保持率分別為98.2%、98.6%和99.1%。從以上電化學性能結果不難看出電解液中烷基-Al2O3的加入不僅沒有惡化電池的電化學性能,反而起到了促進作用。從倍率結果看,SSE-5和SSE-10的性能也由于常規電解液。如圖4所示,0.2C、0.5C、1C、2C和5C放電倍率下使用常規電解液和SSE-10混合電解液的放電可容量分別為136.3、132.9、131.9、130.6、125.6mAh/g和136.5、134.0、133.6,132.4and129.1mAh/g。對于使用SSE-5和SSE-10電池電化學性能由于使用常規電解液的原因作者沒有太多解釋,但前段時間JeffDahn的研究顯示Al2O3能同LiPF6反應生成LiPO2F2進而提升電池性能,本工作是將Al2O3直接分散在電解液中,應該也有類似的效果。

圖5.3AhNCM622/石墨電池分別使用常規電解液和SSE-10電解液針刺結果對比。
為了凸顯電解液中添加烷基-Al2O3對電池安全性的改善,作者特意制作了3AhNCM622/石墨體系的小軟包電池,并進行了針刺實驗。如圖5和視頻所示,使用常規電解液的電池針刺時電壓迅速下降,電池發生明顯鼓脹向外噴射火星并冒出大量濃煙;而使用SSE-10的電池針刺過程電壓僅有輕微的降低,并且外觀上看電池毫發無損、未出現鼓脹現象。從以上對比不難看出,SSE-10電解液的使用確實顯著提升了電池的安全性能,尤其是在惡劣內短路情形下的安全表現。
小結:電解液中添加無機材料改善電池安全性雖然不是新鮮概念,且可能會一定程度降低電池的能量密度,但在不得已的情況下仍值得一試。Al2O3是值得重視的物質,既可以涂覆在隔膜表面,也可以涂覆在正極和負極表面,添加到電解液中又何嘗不可呢?
下一篇:閉環電池回收系統的研發










