鉅大鋰電 | 點擊量:0次 | 2018年12月09日
深入理解超級電容器的電荷存儲機制 進一步提升超級電容器的性能
超級電容器由于其功能密度高、循環壽命長、充放電速度快、對環境無污染等優點,被廣泛應用于電動汽車、傳感器、電腦存儲器備用電源(UPS)、風力發電和太陽能發電等諸多領域。根據不同的儲能機理,超級電容器可分為雙電層電容器(EDLC)和法拉第準電容器(贗電容器)兩大類。深入理解超級電容器的電荷存儲機制對進一步提升超級電容器的性能至關重要。
本文來源:中科院蘭州化物所微信號ID:LICP_CAS
中國科學院蘭州化學物理研究所清潔能源化學與材料實驗室閻興斌研究員團隊一直致力于超級電容器的基礎和應用基礎研究。2017年,該團隊在NatureCommunications上發表了關于EDLC在離子液體電解液中儲能機理的文章,該工作為研究EDLC中離子液體陰陽離子各自的儲能行為提供了新的策略(2017,8,2188.DOI:10.1038/s41467-017-02152-5)。近期,該團隊與以色列Bar-Ilan大學和中國科學技術大學合作,在贗電容儲能機制研究方面又取得了新進展。
二維的陽離子嵌入型由于其獨特的二維結構而具有優異的電化學性能。研究人員利用電化學-原位拉曼、電化學-離散型石英晶體微天平(electrochemicalquartzcrystalmicrobalancewithdissipationmonitoring,EQCM-D)和密度泛函理論(DFT)深入探究了二維陽離子嵌入型氧化錳(Na0.55Mn2O4.1.5H2O,簡稱NMO)在中性Na2SO4電解液和堿性NaOH溶液中的儲能機理。
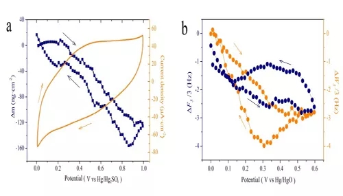
原位拉曼的實驗結果表明:在充電過程中,NMO在中性電解液中會有一個從單斜相向更加有序的六方相轉變的過程。相比于在堿性電解液中的變化而言,NMO的層間距在中性電解液中也會明顯變寬。在堿性電解液中的高電壓區觀察到了高價錳的生成(圖1)。以上現象說明NMO在Na2SO4電解質中主要是鈉離子參與的儲能行為,而在NaOH電解液中NMO則主要發生了氧化還原反應。同時,DFT計算出了鈉離子在NMO體系中的穩定吸附位點,這對深入理解拉曼光譜非常有利。EQCM-D的實驗結果表明:NMO在中性電解液中的充放電過程基本無形變,可根據Sauerbrey方程計算質量變化;而NMO在堿性電解中會發生明顯形變,可根據共振峰寬的變化對其形變進行定性分析(圖2)。綜上,NMO在中性Na2SO4電解質中,在低電勢區(0-0.8V)主要表現為表面控制的贗電容行為,但當電勢大于0.8V時,插層贗電容行為則開始占主導地位。相比之下,在堿性電解液中,NMO則會發生明顯的氧化還原反應,為類電池行為。該研究驗證了NMO的電荷儲存機理很大程度上取決于電解液的類型,甚至在相同的電解液中不同的電壓區間儲能機理也不同。
該研究工作近期在線發表在AdvancedEnergyMaterials(2018,1802707.DOI:10.1002/aenm.201802707)。該工作得到了國家自然科學基金和蘭州化物所“一三五”規劃重點培育項目的資助和支持。

NMO在硫酸鈉和氫氧化鈉電解圖1:液中的原位拉曼光譜及相應的CV曲線以及峰強度隨電壓變化的曲線

圖2a:在中性電解液中NMO電極質量的變化及相應的CV曲線。b:在堿性電解液中NMO的共振頻率變化和共振峰寬變化。










